Читать книгу 📗 "Как постепенно дошли люди до настоящей арифметики [без таблиц] - Беллюстин Всеволод Константинович"
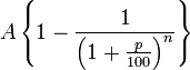
Коммерческій учетъ называется въ настоящее время иначе учетомъ Пинкарда или Карпцова, по имени составителя и издателя таблицъ этого учета. По этому способу учета заимодавецъ остается въ убыткѣ, если учетный процентъ равенъ тому проценту, по которому брали деньги взаймы. Нашъ математическій учетъ называется иначе учетомъ Гоффмана (около 1731 г.). Третій способъ учета предложенъ Лейбницемъ. Въ немъ есть сходство съ математическимъ учетомъ, но проценты на уплачиваемую сумму начисляются сложные. Объяснимъ это алгебраически. Пусть плата будетъ X, валюта А, число процентовъ p, срокъ n лѣтъ; тогда
, отсюда
слѣдовательно, скидка или учетъ по векселю составляетъ
![Как постепенно дошли люди до настоящей арифметики [без таблиц] - i_110.png](/uploads/posts/books/texts/litmir/283586/122337/1333222809/i_110.png)
Постепенное погашеніе государственныхъ долговъ, устройство лоттерей, покупка капитала путемъ періодическихъ взносовъ, различные виды страхованія и другія банковскія и коммерческія операціи требуютъ вычисленій, основанныхъ на правилѣ сложныхъ процентовъ и на теоріи вѣроятностей. Эти вычисленія составляютъ предметъ такъ назыв. политической (коммерческой) ариѳметики. Терминъ «политическая ариѳметика» былъ въ большомъ ходу во 2-й половинѣ XVIII столѣтія. Въ новѣйшее время этотъ отдѣлъ обработанъ съ большой полнотой вѣнскими профессорами Шпитцеромъ и Габерлемъ. Въ XIX столѣтіи самое понятіе о процентѣ расширилось, благодаря введенію его въ статистику. Теперь уже отброшено старое опредѣленіе процента, какъ прибыли или убытка на сто рублей капитала, и вмѣсто того говорятъ, что процентъ просто сотая доля количества. Это опредѣленіе принимается, обыкновенно, во всѣхъ новѣйшихъ учебникахъ.
Скажемъ теперь нѣсколько словъ о правилѣ, которое у нѣмцевъ носитъ названіе «Terminrechnung», а у насъ озаглавливается „вычисленіе сроковъ платежей“. Оно примѣняется тогда, когда нѣсколько капиталовъ, отданныхъ на разные сроки и по разному числу процентовъ, надо замѣнить общимъ капиталомъ, съ тѣмъ, чтобы онъ уплачивался въ общій срокъ. Расчетъ долженъ быть основанъ на томъ, чтобы ни заимодавецъ, ни должникъ не терпѣли убытка. Примѣръ можно взять такой: я обязанъ уплатить 1000 рубл. черезъ 2 года по 5%, 2500 р. черезъ 3 г. по 4% и 3000 р. черезъ 1 годъ по 6%. Когда въ одинъ общій срокъ я могу отдать эти деньги сразу? Уже въ XVI столѣтіи итальянскими учеными было иредложено два совершенно вѣрныхъ пути для рѣшенія подобныхъ вопросовъ. Лука де-Бурго разсуждаетъ слѣдующимъ образомъ. Положимъ, что должникъ платитъ всѣ деньги въ первый срокъ; тогда онъ платитъ напрасно процентныя деньги съ остальныхъ капиталовъ, которымъ срокъ еще не настуішлъ, а именно платитъ за время между 1-мъ срокомъ и осталышми; высчитаемъ эту лишнюю сумму процентныхъ денегъ, высчитаемъ также, въ какое время эту сумму принесутъ всѣ капиталы, тогда мы и получимъ средній срокъ. Тарталья и Видманнъ пользуются нѣсколько инымъ пріемомъ, который, сравнительно съ пріемомъ Бурго, нѣсколько сокращеннѣе, именно тѣмъ, что вмѣсто прибыли вводятся произведенія капиталовъ на число дней или лѣтъ. Это и есть тотъ самый нормальный пріемъ, какой употребляется въ настоящее время.
Наконецъ, правило процентовъ, отчасти съ вексельными операціями, примѣняется къ такъ наз. переводу платежей. Обороты по переводу платежей вошли въ обыкновеніе давно, одновременно съ изобрѣтеніемъ денегь. Такъ какъ купцамъ различныхъ націй, ведшимъ между собою торговлю, необходимо было однѣ монеты переводить въ другія, то для этого имѣлись мѣняльныя конторы; ихъ всегда можно было встрѣтить на рынкахъ большихъ городовъ. Что касается письменныхъ переводовъ, то они первоначально были введены евреями. Изгнанные въ VII ст. изъ Франціи, евреи перешли въ Ломбардію и внесли туда обыкновеніе пользоваться переводами, а итальянцы очень охотно приняли этотъ порядокъ. Затѣмъ Гибеллины, когда ихъ лишили Ломбардіи, перенесли съ собою новый порядокъ въ Амстердамъ, а оттуда онъ распространился уже по всей Европѣ. Около 1315 г. Іоаннъ, герцогъ Лотарингскій, далъ Ганзейцамъ привиллегію на производство въ Брабантѣ денежныхъ переводовъ. Въ 1445 г. мы видимъ переводы въ Нюренбергѣ. Денежные письменные переводы доставляди большое удобство и выгоду, такъ какъ они избавляли отъ лишнихъ трудовъ и издержекъ, и, кромѣ того, при нихъ было меньше риска, что деньги потеряются, къ тому же надо замѣтить, что нерѣдко бывали случаи, когда въ иныхъ государствахъ запрещалось вывозить туземную монету за-границу, подъ страхомъ конфискаціи. Всѣ операціи по переводу находились въ средніе вѣка въ начальной стадіи своего развитія; онѣ ограничивались вычисленіемъ суммъ по курсу, коммиссіонныхъ же процентовъ не упоминается, такъ что обыкновеніе отчислять процентъ за переводъ принаддежитъ новѣйшему времени.
Цѣпное правило.
Начало цѣпного правила можно прослѣдить у индусовъ, именно, оно содержится въ ариѳметикѣ индуса Брамегуиты, относящейся къ VII ст. по Р. X. Въ Германіи оно встрѣчается раньше всѣхъ у Адама Ризе (въ XVI ст.); распространенію его особенно способствовалъ голландецъ Ванъ-Реесъ (1740 г.), по его имени и правило часто на-зывается правиломъ Рееса, другія его названія — Kettenregel на нѣмецкомъ языкѣ и Règle conjonte на французскомъ.
Прямой цѣлью, для которой и придумано цѣпное правило, является переводъ мѣръ одной системы въ мѣры другой, при посредствѣ мѣръ еще какой-нибудь третьей системы. Возьмемъ такую задачу:
сколько флориновъ стоятъ 8 центнеровъ, если въ центнерѣ 100 фунтовъ, въ фунтѣ 32 лота, каждые 6 лотовъ стоятъ 42 крейцера, 60 крейцеровъ стоятъ одинъ флоринъ?
Конечно, эту задачу можно рѣшить простыми дѣленіями и умноженіями, можно ее рѣшить черезъ пропорціи, но изобрѣтатели цѣпного правила не довольствовались этимъ и хотѣли дать такой пріемъ, по которому человѣкъ могъ бы работать, какъ машина, почти не разсуждая и не давая себѣ отчета. По цѣпному правилу задача пишется такъ:
X флор.—8 центн.
1 центн.—100 фун.
1 фун.—32 лота.
6 лот.—42 крейц.
60 крейц—1 флоринъ.
Затѣмъ пишется прямо формула отвѣта, а для этого достаточно перемножить числа праваго ряда и сдѣлать это числителемъ и произведеніе лѣвыхъ чиселъ сдѣлать знаменателемъ, будетъ тогда
![Как постепенно дошли люди до настоящей арифметики [без таблиц] - i_111.jpg](/uploads/posts/books/texts/litmir/283586/122337/1333222809/i_111.jpg)
Въ XIII в. и позже въ Италіи условія подобныхъ задачъ располагались иначе, именно не двумя вертикальными столбцами, а двумя горизонтальными строками; получается такое расположеніе:
42 кр. 6 лот. 100 ф. 1 центн.
1 фл. 60 кр. 32 лот. 1 ф. 8 центр.
Затѣмъ проводилась ломанная линія между множителями числителя той дроби, которая должиа выражать отвѣтъ, и такая же линія между множителями знаменателя: слѣдов. долженъ получиться чертежъ:
![Как постепенно дошли люди до настоящей арифметики [без таблиц] - i_112.png](/uploads/posts/books/texts/litmir/283586/122337/1333222809/i_112.png)
Онъ представляетъ подобіе цѣпи, и благодаря ему самое правило названо цѣпнымъ.
Совершенно справедливо замѣчаютъ противники Ванъ-Рееса, что цѣпное правило не только не полезно для начальнаго обученія, но даже вредно. Оно, подобно многимъ другимъ правиламъ, стремится внести механичность и уничтожить свободное сужденіе при выборѣ способа; оно пригодно, пожалуй, для людей, которымъ часто надо переводить мѣры изъ одной системы въ другую, но оно неумѣстно для общеобразовательной школы, такъ какъ вноситъ спеціальный техническій элементъ.
